Se connecter
Télécharger
Télécharger
Table des Matières
Matières
Ajouter à mes manuels
Supprimer de mes manuels
Partager
L'URL de cette page:
Lien HTML:
Marquer une page
Ajouter
Manuel sera automatiquement ajouté à "Mes manuels"
Imprimer la page
×
Signet ajouté
×
Ajouté à mes manuels
Manuels
Marques
Dimplex Manuels
Pompes à chaleur
SI 6TU
Instructions d'installation et d'utilisation
Dimplex SI 6TU Instructions D'installation Et D'utilisation page 43
Pompe à chaleur eau glycolée-eau pour installation intérieure
Masquer les pouces
Voir aussi pour SI 6TU
:
Instructions d'installation et d'utilisation
(76 pages)
1
2
3
4
5
6
7
8
9
10
11
12
13
14
15
16
17
18
19
20
21
22
23
24
25
26
27
28
29
30
31
32
33
34
35
36
37
38
39
40
41
42
43
44
45
46
47
48
49
50
51
52
53
54
55
56
57
58
59
60
page
de
60
Allez
/
60
Matières
Table des Matières
Signets
Table des Matières
Les langues disponibles
FR
EN
DE
Les langues disponibles
FRANÇAIS, page 27
ENGLISH, page 15
DEUTSCH, seite 3
SI 6TU - SI 18TU
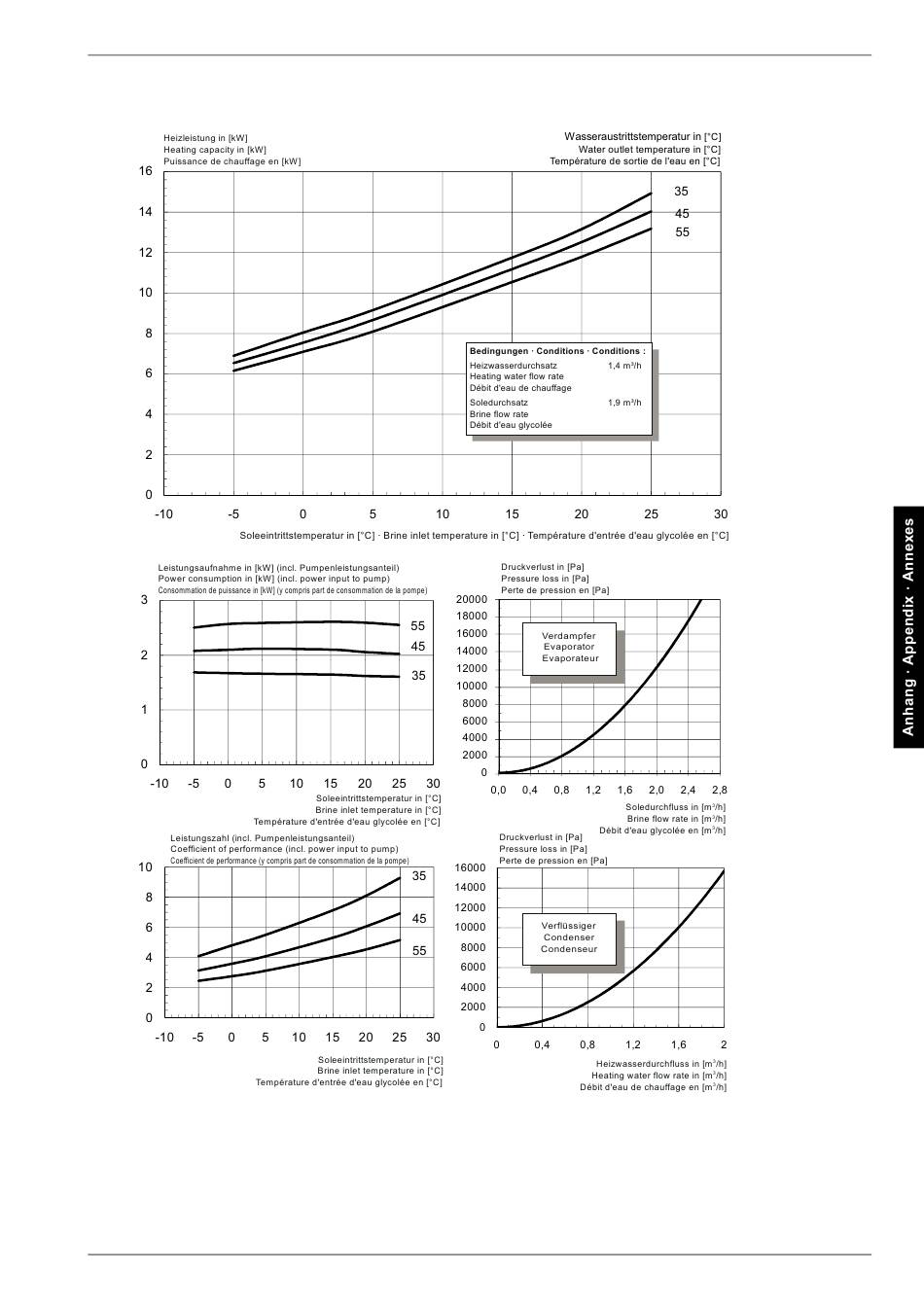
2.2 Kennlinien / Characteristic Curves / Courbes caractéristiques SI 8TU
www.dimplex.de
452235.66.05 · FD 9310
A-V
Table des
Matières
Page
Précédent
e
Page
Suivant
e
1
...
40
41
42
43
44
45
46
47
Chapitres
Deutsch
3
English
15
Table des Matières
Manuels Connexes pour Dimplex SI 6TU
Pompes à chaleur Dimplex SI 6TU Instructions D'installation Et D'utilisation
(76 pages)
Pompes à chaleur Dimplex SI 24TE Instructions D'installation Et D'utilisation
(56 pages)
Pompes à chaleur Dimplex SIW 6TES Instructions D'installation Et D'utilisation
(76 pages)
Pompes à chaleur Dimplex SI 50TE Instructions D'installation Et D'utilisation
Pompe à chaleur eau glycolée-eau pour installation intérieure (68 pages)
Pompes à chaleur Dimplex SI 5TE Instructions D'installation Et D'utilisation
(64 pages)
Pompes à chaleur Dimplex SI 5CS Instructions De Montage Et D'utilisation
(40 pages)
Pompes à chaleur Dimplex SIH 90TU Instructions D'installation Et D'utilisation
(56 pages)
Pompes à chaleur Dimplex SIH 90TU Instructions D'installation Et D'utilisation
(60 pages)
Pompes à chaleur Dimplex SIK 6 TES Instructions D'installation Et D'utilisation
(56 pages)
Pompes à chaleur Dimplex SI 90TU Instructions D'installation Et D'utilisation
(96 pages)
Pompes à chaleur Dimplex SI 35TUR Instructions D'installation Et D'utilisation
(58 pages)
Pompes à chaleur Dimplex SIKH 9 ME Instructions D'installation Et D'utilisation
(52 pages)
Pompes à chaleur Dimplex SI 5MSR Instructions D'installation Et D'utilisation
(48 pages)
Pompes à chaleur Dimplex SI 5BS Instructions D'installation Et D'utilisation
Pompe à chaleur eau glycolée-eau pour installation intérieure (40 pages)
Pompes à chaleur Dimplex SI 26TU Instructions D'installation Et D'utilisation
Pompe à chaleur eau glycolée-eau pour installation intérieure (64 pages)
Pompes à chaleur Dimplex SIH 20TE Instructions D'installation Et D'utilisation
(52 pages)
Produits Connexes pour Dimplex SI 6TU
Dimplex SI 24TE
Dimplex SI 8 MR
Dimplex SI 75TER+
Dimplex SI 50TU
Dimplex SI 75TU
Dimplex SI 7ME
Dimplex SI 9ME
Dimplex SI 11ME
Dimplex SI 5TE
Dimplex SI 14TE
Dimplex SIK 6 TES
Dimplex SIK 11 TES
Dimplex SIK 14 TES
Dimplex SI 10MR
Dimplex SI 5MS
Dimplex SI 7MS
Ce manuel est également adapté pour:
Si 8tu
Si 11tu
Si 14tu
Si 18 tu
Table des Matières
Imprimer
Renommer le signet
Supprimer le signet?
Supprimer de mes manuels?
Connexion
Se connecter
OU
Se connecter avec Facebook
Se connecter avec Google
Télécharger le manuel
Télécharger depuis le disque dur
Télécharger depuis l'URL