Se connecter
Télécharger
Télécharger
Table des Matières
Matières
Ajouter à mes manuels
Supprimer de mes manuels
Partager
L'URL de cette page:
Lien HTML:
Marquer une page
Ajouter
Manuel sera automatiquement ajouté à "Mes manuels"
Imprimer la page
×
Signet ajouté
×
Ajouté à mes manuels
Manuels
Marques
Atlantic Manuels
Chauffages
Solius
Mode d'emploi
Menu Ekspert - Atlantic Solius Mode D'emploi
Masquer les pouces
Voir aussi pour SOLIUS
:
Notice d'utilisation et d'installation
(27 pages)
,
Notice d'installation et d'utilisation
(25 pages)
,
Notice d'installation et d'utilisation succincte
(12 pages)
1
2
Table Des Matières
3
4
5
6
7
8
9
10
11
12
13
14
15
16
17
18
19
20
21
22
23
24
25
26
27
28
29
30
31
32
33
34
35
36
37
38
39
40
41
42
43
44
45
46
47
48
49
50
51
52
53
54
55
56
57
58
59
60
61
62
63
64
65
66
67
68
69
70
71
72
73
74
75
76
77
78
79
80
page
de
80
Allez
/
80
Matières
Table des Matières
Signets
Table des Matières
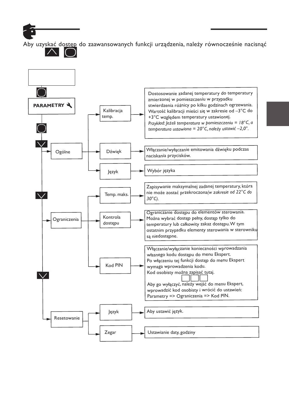
Menu EKSPERT
przyciski
i
na ponad 3 sekundy.
MENU
OK
PL
OK
57
Table des
Matières
Page
Précédent
e
Page
Suivant
e
1
...
56
57
58
59
60
61
62
63
Table des Matières
Manuels Connexes pour Atlantic SOLIUS
Chauffages Atlantic SOLIUS Notice D'utilisation Et D'installation
(27 pages)
Chauffages Atlantic SOLIUS Notice D'installation Et D'utilisation
(25 pages)
Chauffages Atlantic SOLIUS Notice D'installation Et D'utilisation
(21 pages)
Chauffages Atlantic Solius Notice D'installation Et D'utilisation Succincte
(12 pages)
Chauffages Atlantic SOKIO Notice D'utilisation Et D'installation
(48 pages)
Chauffages Atlantic SERENIS PREMIUM SFHG-PRE-ATL Notice D'utilisation Et D'installation
Radiateur sèche-serviettes électrique (33 pages)
Chauffages Atlantic SENSIUM Notice D'utilisation Et D'installation
(23 pages)
Chauffages Atlantic SENSIUM Notice D'utilisation Et D'installation
(43 pages)
Chauffages Atlantic SERENIS PREMIUM Notice D'utilisation Et D'installation
(31 pages)
Chauffages Atlantic SERENIS PREMIUM Notice D'utilisation Simplifiée
(2 pages)
Chauffages Atlantic SOLIUS DIGITAL Notice D'utilisation Et D'installation
(3 pages)
Chauffages Atlantic SHANGAI Notice D'utilisation Et D'installation
(17 pages)
Chauffages Atlantic Shangai 2 Notice D'utilisation Et D'installation
(5 pages)
Chauffages Atlantic SSC 3* OEIL Prise En Main Rapide
Radiateur sèche-serviettes électrique (2 pages)
Chauffages Atlantic Solius Ecodomo Serie Manuel
(42 pages)
Chauffages Atlantic Solius Eco Domo Manuel
(43 pages)
Contenu connexe pour Atlantic SOLIUS
SFLC DIG2 Menu Ekspert
Atlantic SFLC DIG2
KENYA 4 Menu Fenêtre Ouverte
Atlantic KENYA 4
ABELIA-RC14D Le Menu En Mode Basic
Atlantic ABELIA-RC14D
SERENIS PREMIUM Faire D'autres Réglages (Menu Expert)
Atlantic SERENIS PREMIUM
NEFERTITI Faire D'autres Réglages (Menu Expert)
Atlantic NEFERTITI
DORIS TRI TD1W J'active Le Mode Programmation Dans Le Menu
Atlantic DORIS TRI TD1W
NIRVANA Neo Menu Fenêtre Ouverte
Atlantic NIRVANA Neo
Riva 3 Le Menu
Atlantic Riva 3
851129 Le Menu
Atlantic 851129
WPA 450 V2 Menu
Atlantic WPA 450 V2
DIVALI PREMIUM CONNECTED promSH-BD3.3 Accéder Au Menu Information Accéder Au Menu Information Economies D'énergie Economies D'énergie
Atlantic DIVALI PREMIUM CONNECTED promSH-BD3.3
Axeo Nox 25 F30 Structure Du Menu
Atlantic Axeo Nox 25 F30
DORIS MIXTE Le Menu
Atlantic DORIS MIXTE
SOKIO Le Menu En Mode Basic
Atlantic SOKIO
AGILIA Le Menu En Mode Basic
Atlantic AGILIA
NIRVANA Menu Fenêtre Ouverte
Atlantic NIRVANA
Ce manuel est également adapté pour:
Rweh-wifi
Table des Matières
Imprimer
Renommer le signet
Supprimer le signet?
Supprimer de mes manuels?
Connexion
Se connecter
OU
Se connecter avec Facebook
Se connecter avec Google
Télécharger le manuel
Télécharger depuis le disque dur
Télécharger depuis l'URL