Se connecter
Télécharger
Télécharger
Table des Matières
Matières
Ajouter à mes manuels
Supprimer de mes manuels
Partager
L'URL de cette page:
Lien HTML:
Marquer une page
Ajouter
Manuel sera automatiquement ajouté à "Mes manuels"
Imprimer la page
×
Signet ajouté
×
Ajouté à mes manuels
Manuels
Marques
Atlantic Manuels
Chauffages
Solius
Mode d'emploi
Le Menu Expert - Atlantic Solius Mode D'emploi
Masquer les pouces
Voir aussi pour SOLIUS
:
Notice d'utilisation et d'installation
(27 pages)
,
Notice d'installation et d'utilisation
(25 pages)
,
Notice d'installation et d'utilisation succincte
(12 pages)
1
2
Table Des Matières
3
4
5
6
7
8
9
10
11
12
13
14
15
16
17
18
19
20
21
22
23
24
25
26
27
28
29
30
31
32
33
34
35
36
37
38
39
40
41
42
43
44
45
46
47
48
49
50
51
52
53
54
55
56
57
58
59
60
61
62
63
64
65
66
67
68
69
70
71
72
73
74
75
76
77
78
79
80
page
de
80
Allez
/
80
Matières
Table des Matières
Signets
Table des Matières
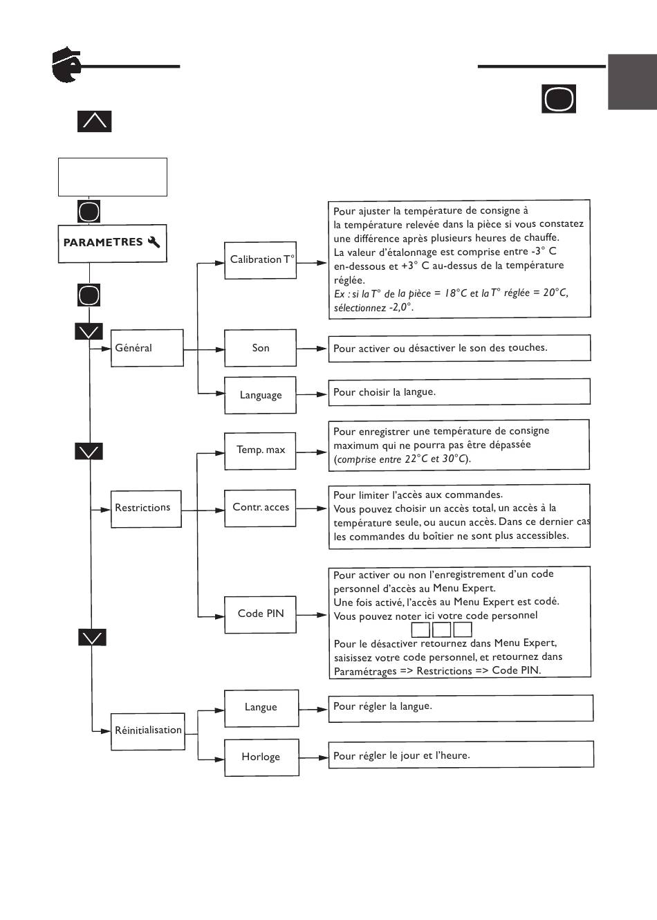
Le menu EXPERT
F
Pour accéder aux fonctions avancées de l'appareil, appuyez en même temps sur
et
pendant plus de 3 secondes.
MENU
OK
OK
13
Table des
Matières
Page
Précédent
e
Page
Suivant
e
1
...
12
13
14
15
16
17
18
19
Table des Matières
Manuels Connexes pour Atlantic SOLIUS
Chauffages Atlantic SOLIUS Notice D'utilisation Et D'installation
(27 pages)
Chauffages Atlantic SOLIUS Notice D'installation Et D'utilisation
(25 pages)
Chauffages Atlantic SOLIUS Notice D'installation Et D'utilisation
(21 pages)
Chauffages Atlantic Solius Notice D'installation Et D'utilisation Succincte
(12 pages)
Chauffages Atlantic SOKIO Notice D'utilisation Et D'installation
(48 pages)
Chauffages Atlantic SERENIS PREMIUM SFHG-PRE-ATL Notice D'utilisation Et D'installation
Radiateur sèche-serviettes électrique (33 pages)
Chauffages Atlantic SENSIUM Notice D'utilisation Et D'installation
(23 pages)
Chauffages Atlantic SENSIUM Notice D'utilisation Et D'installation
(43 pages)
Chauffages Atlantic SERENIS PREMIUM Notice D'utilisation Simplifiée
(2 pages)
Chauffages Atlantic SERENIS PREMIUM Notice D'utilisation Et D'installation
(31 pages)
Chauffages Atlantic SOLIUS DIGITAL Notice D'utilisation Et D'installation
(3 pages)
Chauffages Atlantic SHANGAI Notice D'utilisation Et D'installation
(17 pages)
Chauffages Atlantic Shangai 2 Notice D'utilisation Et D'installation
(5 pages)
Chauffages Atlantic SSC 3* OEIL Prise En Main Rapide
Radiateur sèche-serviettes électrique (2 pages)
Chauffages Atlantic Solius Ecodomo Serie Manuel
(42 pages)
Chauffages Atlantic Solius Eco Domo Manuel
(43 pages)
Contenu connexe pour Atlantic SOLIUS
KENYA 4 Le Menu Expert
Atlantic KENYA 4
ABELIA-RC14D Le Menu Expert
Atlantic ABELIA-RC14D
NIRVANA Neo Le Menu Expert
Atlantic NIRVANA Neo
Riva 3 Le Menu Expert
Atlantic Riva 3
851129 Le Menu Expert
Atlantic 851129
DORIS MIXTE Le Menu Expert
Atlantic DORIS MIXTE
SOKIO Le Menu Expert
Atlantic SOKIO
AGILIA Le Menu Expert
Atlantic AGILIA
NIRVANA Le Menu Expert
Atlantic NIRVANA
F127 Le Menu Expert
Atlantic F127
ADÉLIS DIGITAL Le Menu Expert
Atlantic ADÉLIS DIGITAL
AGILIA Le Menu Expert
Atlantic AGILIA
SFLC DIG2 Le Menu Expert
Atlantic SFLC DIG2
ACCESSIO DIGITAL 2 Le Menu Expert
Atlantic ACCESSIO DIGITAL 2
SOKIO Le Menu Expert
Atlantic SOKIO
DORIS DIGITAL Le Menu Expert
Atlantic DORIS DIGITAL
Ce manuel est également adapté pour:
Rweh-wifi
Table des Matières
Imprimer
Renommer le signet
Supprimer le signet?
Supprimer de mes manuels?
Connexion
Se connecter
OU
Se connecter avec Facebook
Se connecter avec Google
Télécharger le manuel
Télécharger depuis le disque dur
Télécharger depuis l'URL