Se connecter
Télécharger
Télécharger
Table des Matières
Matières
Ajouter à mes manuels
Supprimer de mes manuels
Partager
L'URL de cette page:
Lien HTML:
Marquer une page
Ajouter
Manuel sera automatiquement ajouté à "Mes manuels"
Imprimer la page
×
Signet ajouté
×
Ajouté à mes manuels
Manuels
Marques
PREMIER TECH Manuels
Pompes
Rewatec
Guide de l'utilisateur
PREMIER TECH Rewatec Guide De L'utilisateur page 19
Masquer les pouces
Voir aussi pour Rewatec
:
Guide d'installation
(20 pages)
,
Manuel du propriétaire
(19 pages)
,
Notice de pose
(18 pages)
1
2
3
4
5
6
7
8
9
10
11
12
13
14
15
16
17
18
19
20
Table Des Matières
21
page
de
21
Allez
/
21
Matières
Table des Matières
Signets
Table des Matières
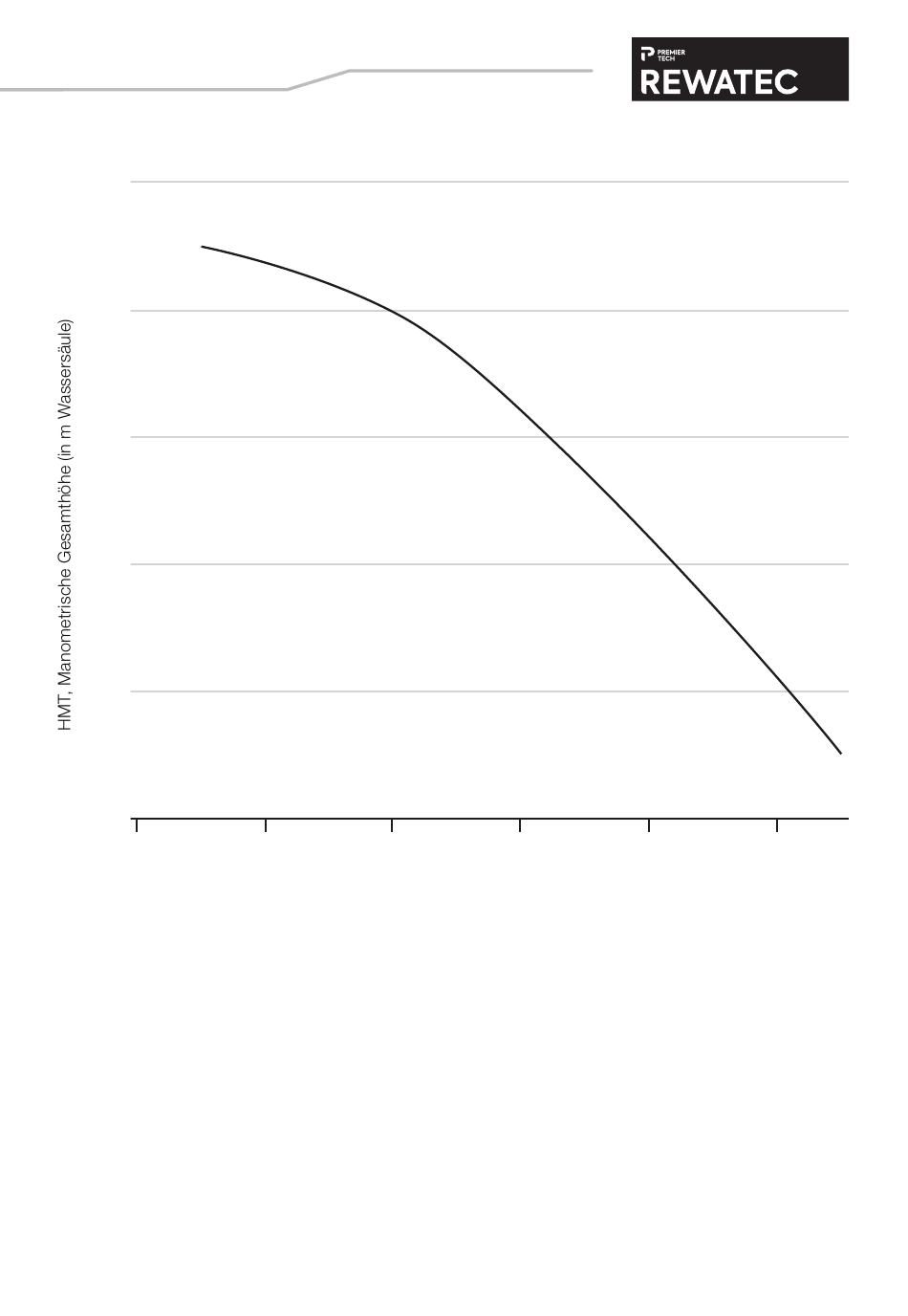
Hydraulische Leistung
50
40
30
20
10
0
0
1
2
3
4
5
Kapazität Q (m
/h)
3
18
Table des
Matières
Page
Précédent
e
Page
Suivant
e
1
...
16
17
18
19
20
21
Table des Matières
Manuels Connexes pour PREMIER TECH Rewatec
Rangements PREMIER TECH Rewatec Guide D'installation
Récupérateurs d'eau de pluie (20 pages)
Systèmes de filtration de l'eau PREMIER TECH REWATEC Manuel Du Propriétaire
(19 pages)
Systèmes d'Eau PREMIER TECH REWATEC Notice De Pose
(18 pages)
Systèmes d'Eau PREMIER TECH REWATEC Manuel Du Propriétaire
(16 pages)
Systèmes de filtration de l'eau PREMIER TECH REWATEC Manuel Du Propriétaire
(16 pages)
Équipement de désinfection PREMIER TECH REWATEC Guide Du Propriétaire
(14 pages)
Systèmes de filtration de l'eau PREMIER TECH ECOFLO Manuel Du Propriétaire
(12 pages)
Pompes PREMIER TECH Rewatec PSA-240 Manuel Du Propriétaire Et Manuel D'installation
(12 pages)
Pompes PREMIER TECH ECOFLO EC-2.8-C-P Guide D'installation
(8 pages)
Produits Connexes pour PREMIER TECH Rewatec
PREMIER TECH Rewatec 2000
PREMIER TECH Ecoflo Coco 5.0
PREMIER TECH Ecoflo Coco 6.5
Table des Matières
Imprimer
Renommer le signet
Supprimer le signet?
Supprimer de mes manuels?
Connexion
Se connecter
OU
Se connecter avec Facebook
Se connecter avec Google
Télécharger le manuel
Télécharger depuis le disque dur
Télécharger depuis l'URL